728x90
그래프 표현 방법
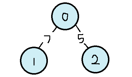
- 인접 행렬(Adjacency Matrix) : 2차원 배열에 각 노드가 연결된 형태를 기록하는 방식

| 0 | 1 | 2 | |
| 0 | 0 | 7 | 5 |
| 1 | 7 | 0 | INF |
| 2 | 5 | INF | 0 |
INF = 999999999 # 무한의 비용 선언
# 2차원 리스트를 이용해 인접 행렬 표현
graph = [[0, 7, 5],
[7, 0, INF],
[5, INF, 0]]
- 인접 리스트(Adjacency List) : 모든 노드에 연결된 노드에 대한 정보를 차례대로 연결하여 저장(연결리스트 이용)

# 행(Row)이 3개인 2차원 리스트로 인접 리스트 표현
graph = [[] for _ in range(3)]
# 노드 0에 연결된 노드 정보 저장(노드, 거리)
graph[0].append((1, 7))
graph[0].append((2, 5))
# 노드 1에 연결된 노드 정보 저장(노드, 거리)
graph[1].append((0, 7))
# 노드 2에 연결된 노드 정보 저장(노드, 거리)
graph[2].append((0, 5))
print(graph) # >>> [[(1, 7), (2, 5)], [(0, 7)], [(0, 5)]]
- 인접 리스트 방식은 연결된 정보만을 저장하기 때문에 인접 행렬 방식에 비해 메모리를 효율적으로 사용함.
- 인접 리스트 방식은 인접 행렬 방식에 비해 특정한 두 노드가 연결되어 있는지에 대한 정보를 얻는 속도가 느림.
DFS(깊이 우선 탐색)
- 탐색 시작 노드를 스택에 삽입하고 방문처리함
- 스택의 최상단 노드에 방문하지 않은 인접노드가 있다면 그 인접 노드를 스택에 넣고 방문처리함. 방문하지 않은 인접 노드가 없으면 스택에서 최상단 노드를 꺼냄
- 2번의 과정을 더 이상 수행할 수 없을 때까지 반복
-> 재귀함수 이용(스택을 이용하는 알고리즘이기 때문)
※ 방문 처리: 스택에 한 번 삽입되어 처리된 노드가 다시 삽입되지 않게 체크하는 것을 의미함. 방문처리를 함으로써 각 노드를 한 번씩만 처리할 수 있음.

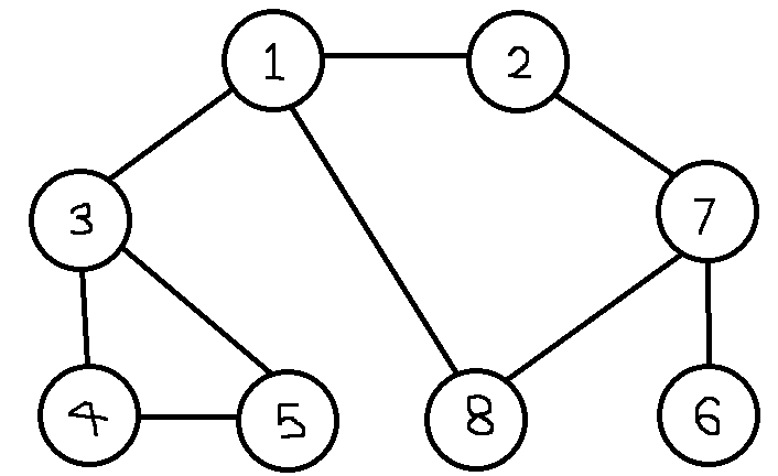
노드 탐색 순서: 1 -> 2 -> 7 -> 6 -> 8 -> 3 -> 4 -> 5
# DFS 메서드 정의
def dfs(graph, v, visited):
# 현재 노드를 방문 처리
visited[v] = True
print(v, end=' ')
# 현재 노드와 연결된 다른 노드를 재귀적으로 방문
for i in graph[v]:
if not visited[i]:
dfs(graph, i, visited)
# 각 노드가 연결된 정보를 리스트 자료형으로 표현(2차원 리스트)
graph = [
[],
[2, 3, 8],
[1, 7],
[1, 4, 5],
[3, 5],
[3, 4],
[7],
[2, 6, 8],
[1, 7]
]
# 각 노드가 방문된 정보를 리스트 자료형으로 표현(1차원 리스트)
visited = [False] * 9
# 정의된 DFS 함수 호출
dfs(graph, 1, visited)
BFS(너비 우선 탐색)
- 탐색 시작 노드를 큐에 삽입하고 방문처리함
- 큐에서 노드를 꺼내 해당 노드의 인접 노드 중에서 방문하지 않은 노드를 모두 큐에 삽입하고 방문처리함.
- 2번의 과정을 더 이상 수행할 수 없을 때까지 반복
-> 큐 자료구조 이용 (deque 라이브러리 : from collections import deque)
*) 보통 BFS 구현이 조금 더 빠르게 동작함.

노드 탐색 순서: 1 -> 2 -> 3 -> 8 -> 7 -> 4 -> 5 -> 6
from colllections import deque
# BFS 메서드 정의
def bfs(graph, start, visited):
# 큐(Queue) 구현을 위해 deque 라이브러리 사용
queue = deque([start])
# 현재 노드를 방문 처리
visited[start] = True
# 큐가 빌 때까지 반복
while queue:
# 큐에서 하나의 원소를 뽑아 출력
v = queue.popleft()
print(v, end=' ')
# 해당 원소와 연결된, 아직 방문하지 않은 원소들을 큐에 삽입
for i in graph[v]:
if not visited[i]:
queue.append(i)
visited[i] = True
# 각 노드가 연결된 정보를 리스트 자료형으로 표현(2차원 리스트)
graph = [
[],
[2, 3, 8],
[1, 7],
[1, 4, 5],
[3, 5],
[3, 4],
[7],
[2, 6, 8],
[1, 7]
]
# 각 노드가 방문된 정보를 리스트 자료형으로 표현(1차원 리스트)
visited = [False] * 9
# 정의된 BFS 함수 호출
bfs(graph, 1, visited)728x90
'Programming > Algorithm' 카테고리의 다른 글
| [Algorithm] 플로이드 워셜 알고리즘 (0) | 2021.08.21 |
|---|---|
| [Algorithm] 다익스트라 최단 경로 알고리즘 (0) | 2021.08.21 |
| [Algorithm] 다이나믹 프로그래밍 (0) | 2021.07.22 |
| [Algorithm] 이진 탐색 (0) | 2021.07.01 |
| [Algorithm] 정렬을 파이썬으로 구현(선택정렬, 삽입정렬, 퀵정렬, 계수정렬) (0) | 2021.06.30 |